농촌진흥청(청장 이승돈)은 특정병원체가 없는 사육환경(SPF, Specific Pathogen-Free)에서 자란 돼지가 일반 사육환경에서 자란 돼지보다 체중과 체격이 작게 나타난다는 사실을 확인했다.
연구진은 이종이식 연구에 활용되는 형질전환 미니돼지를 대상으로, 병원체가 없는 사육시설과 일반 사육시설에서 각각 사육하며, 이유 후 24개월 동안 체중, 체장, 흉폭 등 주요 성장 지표를 비교 분석했다.
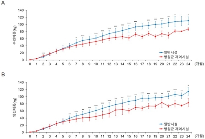
분석 결과, 병원체가 없는 시설에서 자란 돼지는 일반 사육군에 비해 대부분의 성장 지표에서 13~25% 낮은 수치를 보였다.
A: 수컷, B: 암컷, 청색: 일반시설, 적색: 병원균 제어시설 |
▲일반돈사와 병원균제어(SPF) 사육환경 차이에 따른 이종이식용 돼지의 체중 지표 차이 비교(24개월 간)
사료 섭취량 차이는 약 10%에 불과했으나, 24개월 시점의 성장 지표 차이는 30% 이상으로 나타났다. 이는 이러한 성장 차이가 단순히 영양 요인보다는 사육환경과 관련될 가능성이 높음을 보여준다. 반면, 체고와 흉심의 차이는 크지 않아, 기본적인 골격 형성은 사육환경보다 유전적 요인의 영향이 더 큰 것으로 분석됐다.
이종이식용 공여 돼지는 이식 시 장기가 적정한 크기를 유지해야 안정적인 기능을 수행할 수 있다. 장기가 너무 크면 수혜자의 체내 공간을 압박하게 되고, 반대로 너무 작으면 필요한 기능을 충분히 수행하지 못할 수 있다. 특히 돼지 장기는 이식 후에도 자랄 수 있어, 초기 크기 관리는 이식 적합성 확보의 핵심 요소로 꼽힌다.
이번 연구를 통해 병원체 제어 사육환경이 이종이식용 공여 돼지의 성장과 체격 형성에 영향을 미쳐, 일반 사육환경과 다른 성장 추이를 보일 수 있음을 확인했다. 이는 향후 장기 크기 적합성을 고려한 이종이식용 공여 돼지 사육관리 기준을 마련하는 데 중요한 기초자료로 활용될 수 있다.
한편, 이번 연구 결과는 「한국산학기술학회논문지」(제27권 제1호, 2026년)에 ‘사육환경이 이종이식용 MGH 형질전환 미니돼지의 성장 발달에 미치는 영향’으로 게재됐다.
농촌진흥청 국립축산과학원 이경태 동물바이오유전체과장은 “이종 이식용 돼지는 병원체 관리가 필수적인 조건에서 생산되지만, 그동안 성장 특성 기초자료는 충분하지 않았다.”라며, “이번 연구 결과는 앞으로 이종이식용 돼지의 사육관리 기준을 마련하고, 공여 돼지의 표준화 연구를 추진하는 데 큰 도움이 될 것”이라고 밝혔다.














