농촌진흥청(청장 이승돈)은 국산 양파에 혈압‧혈관 건강과 당뇨 예방에 도움을 줄 수 있는 플라보노이드 성분이 풍부하게 들어 있음을 확인하고, 관련 정보를 발표했다.

플라보노이드(flavonoid)는 채소와 과일에 주로 들어있는 성분으로 대부분의 식품에 존재하지만, 특히 양파에 다량 함유돼 있다. 기본적인 항산화 작용을 비롯해 심혈관 및 대사 건강 유지에 도움 되는 성분으로 알려져 있다.
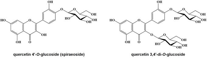
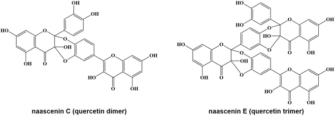
식생활영양과 연구진이 국내 재배 양파(일반, 자색)의 기능 성분을 정밀 분석, 플라보노이드 유도체 16종(배당체 10종, 다중결합체 6종)을 구명하고 부위별(속·껍질) 함량을 확인했다.

▲국산 양파의 속(알맹이)에 함유된 주요 배당체 구조

▲국산 양파의 껍질(부산물)에 함유된 주요 다중결합체 구조
▶배당체: 당분자가 결합된 구조를 가진 화합물
▶다중결합체: 당분자 없이 2개 이상의 구조가 결합된 복합 화합물
그 결과, 양파 속(알맹이) 주요성분은 쿼세틴 글루코사이드(quercetin 4'-O-glucoside), 쿼세틴 다이글루코사이드(quercetin 3,4'-di-O-glucoside) 등 배당체 형태였다. 반면, 부산물인 껍질에는 쿼세틴이 2개 이상 결합한 나세닌 에이-에프(naascenin A-F)와 같은 다중결합체 6종이 확인됐다. 이들 성분은 양파 껍질에서만 관찰됐다.
자색 양파 속 플라보노이드는 223.6mg으로 일반 양파(65.9mg)보다 3배 이상 많았다.(생체중량 100g 기준) 특히 껍질에는 이보다 많은 1,864.4mg이 들어있어 부산물로써 활용 가치가 충분함을 알 수 있었다.
양파 속에 많은 배당체는 혈압과 혈관 건강, 껍질에 많은 다중결합체는 당뇨 예방에 도움 된다는 보고가 있어 양파가 일상 식단을 물론 기능성 소재 개발에도 유용할 것으로 기대된다.
양파는 조리법에 따라 다양하게 활용할 수 있다. 양파를 볶거나 물을 넣고 졸인 양파 요리당은 설탕보다 단맛은 적지만, 양파 고유의 풍미를 간직해 음식 맛을 끌어 올린다.
실제 관능 평가에서 소불고기 양념장에 설탕 대신 양파 요리당을 넣었을 때, 기존 양념장과 비슷하거나 선호도가 약간 높았다. 또한, 양파 분말은 감자전, 제육볶음, 달걀말이, 두부조림 등의 음식 풍미를 높이는 데도 한몫한다.
농촌진흥청 유선미 식생활영양과장은 “양파 성분 정보를 자세히 제공함으로써 국민 식생활 개선은 물론 고기능성 품종 육성, 가공 및 부산물 활용 등에 기초자료로 활용되길 바란다.”라고 말했다.
농촌진흥청은 농식품종합정보시스템 ‘농식품올바로’에서 양파를 비롯해 다양한 농식품 소재 268점의 플라보노이드 종류와 함량 정보를 제공하고 있다.
